2025MBA報考測評申請中......
說明:您只需填寫姓名和電話即可免費預約!也可以通過撥打熱線免費預約
我們的工作人員會在最短時間內給予您活動安排回復。
導讀:又是新的周一,今天的數學小黑板為大家講解“MBA加油站Lisa老師帶你三小時搞定數學基石第13集——組合與組合數公式”。
文字解析
題目
今年中秋節,MBA加油站教研部從10位老師中選出3位,分別在9.15,9.16,9.17這三天值班,請問有多少種排法?
中秋節放三天假,MBA加油站教研部從10位老師中選出3位值班,一共有幾種方案?
組合與組合數公式
(1)組合
從n個不同元素中,任意取出m個元素并為一組,叫做從n個不同元素中取出m個元素的一個組合。
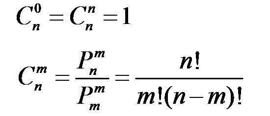
(2)組合數
從n個不同元素中,取出m(m≦n)個元素的所有組合的種數,稱為從n個不同元素中,取出m個不同元素的組合數,記作
。
(3)公式

(4)組合數的性質

(重要,常用)
你真的分清楚啥時候用排列,啥時候用組合了么?
1、40個大學畢業生選3個出來,分別去北、清、人實習.
2、40個大學畢業生選3個出來,去西部支教.

